Công ty chúng tôi kính gửi quý khách bảng giá ống nhựa Bình Minh 2020 mới nhất
Xem thêm: Bảng giá ống nhựa bình minh
Xem thêm: Ống nhựa bình minh
Giới thiệu sơ lược công ty cổ phần nhựa Bình Minh
Công ty nhựa Bình Minh được thành lập 1977 là doanh nghiệp nhựa hàng đầu Việt Nam, là nhà sản xuất nhựa lớn nhất Phía Nam.
Với hệ thống thiết bị, công nghệ tiên tiến nhất của Châu Âu.
Công ty nhựa Bình Minh có bốn nhà máy tại: thành phố Hồ Chí Minh, tỉnh Bình Dương, tỉnh Long An, tỉnh Hưng Yên.
Bảng giá ống nhựa uPVC Bình Minh 2019
Bảng giá ống nhựa Bình Minh hệ Inch
Ống nhựa hệ inch được sản xuất từ hợp chất nhựa PVC hóa dẻo. Ống nhựa uPVC được sản xuất từ phi 21 đến 630, phụ kiện được sản xuất từ phi 21 đến 200 dùng trong ngành cấp thoát nước, bưu chính viễn thông, điện lực, xây dựng và dân dụng

Bảng giá ống nhựa uPVC hệ Mét
Bảng giá ống nhựa uPVC Hệ Mét xem hình sau đây

Bảng giá ống nhựa bình minh hệ ciod (Hệ cấp nước sạch, màu xanh dương)
Bảng nhựa ống nhựa Bình Minh hệ CIOD dùng cho cấp nước thủy cục

Bảng giá phụ kiện uPVC Bình Minh
Bảng giá phụ kiện hệ Inch
Bảng giá phụ kiện Bình Minh hệ Inch mới nhất


Bảng giá phụ kiện hệ Mét
Bảng giá phụ kiện Bình Minh hệ Mét mới nhất

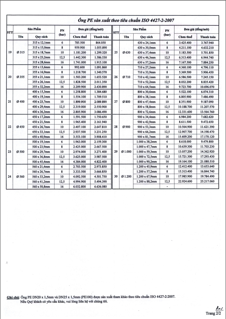
Bảng giá ống nhựa HDPE Bình Minh
Ống nhựa HDPE Bình Minh được sản xuất từ phi 16 đến 1200, dùng trong ngành cấp thoát nước, xây dựng dân dụng, đặc biệt dùng trong vùng nước phèn và nước mặn
Ống HDPE


Phụ kiện HDPE

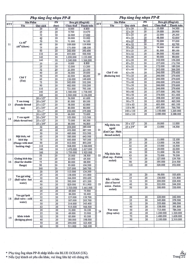
Bảng giá PPR
Ống nhựa PPR Bình Minh được sản xuất từ phi 20 đén 160, dùng cho nước nóng và nước lạnh ngành cấp nước, công nghiệp và dân dụng
Ống PPR

Phụ kiện PPR


Phụ kiện PPR nhập khẩu


Bảng giá HDPE Gân thành đôi
Ống nhựa HDPE Bình Minh gân thành đôi sản xuất từ phi 110 đến 500, dùng trong ngành thoát nước, hạ tầng, dẫn cáp điện …

Ống LDPE
Ngoài ra, Nhựa Bình Minh còn cung cấp cho thị trường các loại ống LDPE, xịt 1 lít, 5 litá và 10 lít dùng cho tưới tiêu và nông nghiệp.

Gioăng cao su

Trên đây là bảng giá ống nhựa bình minh 2020
Trân trọng cảm ơn quý khách hàng.
Nguồn tham khảo: http://ongnhuabinhminh.net






